صفحه اصلی / مقالات / ابن بنا /

فهرست مطالب

ابن بنا

ابن بنا

نویسنده (ها) :
آخرین بروز رسانی : دوشنبه 11 بهمن 1400 تاریخچه مقاله

اِبْنِ‌بَنّا، ابوالعباس احمد بن محمد بن عثمان اَزدی مراکشی (د 721 ق/ 1321 م)، ریاضی‎دان، ستاره‎شناس و ادیب صوفی‌مشرب، از مردم مغرب اقصا که در علوم دینی، تفسیر، ادب عرب و پزشکی نیز دست داشت. او به‌سبب شغل پدر بدین نام خوانده می‎شد (ابن‎قاضی، جذوة ... ، 148؛ بابا‎تنبکتی، 65). بنا‌به گزارش ابن‎قاضی (همان، 152؛ نیز نک‍ : باباتنبکتی، 67؛ سراج، 1(3)/ 639)، ابن‎بنا در 9 ذیحجۀ 654 ق/ 28 دسامبر 1256 م در شهر مراکش زاده شد، اما همو، در درة ‎الحجال (1/ 16) دراین‎باره تاریخ 646 ق، و باباتنبکتی و سراج (همانجاها) به نقل از دیگران تاریخ 649 ق را آورده‎اند.

ابن‎بنا قرآن را نزد علی صالح ‎الاحدب، عروض و برخی از مسائل ارث را نزد ابوبکر قلّوسی، الکتاب سیبویه را در محضر ابواسحاق بن عبدالسلام صنهاجی، حدیث را از ابن‎دهاق، فقه را از ابوعمران زناتی، ادب عرب را نزد قاضی محمد بن علی بن یحیی‎ الشریف، هیئت و نجوم را از عبدالله بن مخلوف سجلماسی، و ریاضیات را نزد عبدالله بن حجله آموخت؛ گویا اندکی نیز به آموزش پزشکی پرداخت (ابن‎قاضی، همانجا، جذوة، 149، 150؛ نیز نک‍ : ورنت، 437؛ سـویسی، 492). پرآوازه‎ترین استـاد ابن‌بنـا شیخ عبدالرحمان هزمیری، صوفی و رهبر دینی معروف مغرب اقصى بود که ابن‎بنا در طریقۀ او وارد شد و سالی عزلت گزید و چنان‌که خود گفته است، در این سیروسلوک شگفتیها دید (ابن‎حجر، 1/ 330، 331). از میان شاگردان وی نیز می‎توان از عبدالعزیز بن علی بن داوود هواری (سارتن، «مقدمه ... »، II/ 999)، ابوزید عبدالرحمان لجایی، منجم مشهور (ابن‎قنفذ، انس‎ الفقیر، 68) و ابوعبدالله اُبُلّی ــ که خود استاد ابن‎خلدون بود ــ یاد کرد (ابن‎قاضی، درة ... ، نیز سارتن، همانجاها؛ سویسی، 493).

ابن‎بنا برپایۀ آموزشهای شیخ هزمیری به پیشگویی نیز می‎پرداخت (ابن‎قاضی، جذوة، 149)، اما شهرت او به‌عنوان دانشمند مرهون آثاری است که در زمینۀ ریاضیات و نجوم نوشته است. گویند وی هر ‌روز پس از نماز صبح تا نزدیک غروب به کار می‎پرداخت (ابن‎حجر، 1/ 330)؛ بسیار اندک سخن می‎گفت و چون آغاز سخن می‎کرد، جز به مسائل علمی نمی‎پرداخت و همه از مجلس وی سود می‎بردند (ابن‎قاضی، همان، 148). در‌این‌‌باره ابیاتی از خود ابن‎بنا نیز نقل شده است (همو، درة، همانجا).

ابن‎بنا در شهر مراکش درگذشت (ابن‎قنفذ، الوفیات، 343؛ ابن‎قاضی، همانجا). برخی تاریخ درگذشت او را 724 ق آورده‎اند که به نظر می‎رسد مربوط به ابوالعباس احمد بن محمد مالقی، قاضی اغمات باشد (باباتنبکتی، همانجا).

در بخشی از مقدمۀ ابن‎خلدون که تنها در چاپ پاریس دیده می‎شود و و‌وپکه متن و ترجمۀ فرانسوی آن را آورده، مطالبی دربارۀ رفع الحجاب ابن‎بنا آمده است که نشان از بهره‎گیری وی از نمادها برای بیان روابط ریاضی دارد. ووپکه سپس نتیجه گرفته که نمادگذاری در کتابهای ریاضیات دورۀ اسلامی در سدۀ 7 ق/ 13 م و حتى پیش از آن رواج داشته است («بررسی ... »، 370-372). از سوی دیگر، از‌آنجا‌که چند تن از شارحان تلخیص ابن‎بنا به فاصلۀ اندکی پس از وی پیوسته نمادهای ریاضی را به کار برده‎اند، می‎توان احتمال داد که ابن‎بنا در این کار مؤثر بوده است؛ گرچه روشن‌شدن این ارتباطها منوط به بررسی نسخه‎های خطی آثـار وی، به‌ویژه رفع‎ الحجـاب ــ که در این بررسی بدان دسترسی نداشته‎ایم ــ است؛ البته او در کتاب الجبر و المقابلة این شیوه را به کار نبسته است. ابن‎بنا همچنین نخستین کسی است که برای جداکردن صورت کسر از مخرج آن از خط کسری بهره گرفته است، به‌عنوان مثال، به جای شکل قدیمی شکل امروزی  را نوشته است (سعیدان، مقدمه ... ، 2/ 16؛ قس: «فرهنگ ... »، XIII/ 539).

ابن‌بنا در تسهیل شیوه‎های انجام 4 عمل اصلی سهم داشته و نخستین کسی است که جمع را به شیوۀ متداول امروز انجام می‎داده و برای جداکردن حاصل‌جمع یا حاصل‌تفریق از دو عدد نخست، از خطی افقی میان آنها استفاده می‎کرده است. کتاب مقالات الاربع فی الحساب وی از نخستین کتابهایی است که در آن به جای استفاده از تخت و تراب (یا رَمْل)، از کاغذ و قلم استفاده شده است. گفتنی است که استفاده از کاغذ و قلم برای انجام 4 ‌عمل اصلی براساس شیوه‎های قدیم (شیوه‎های هندی) دشوار است. ابن‎بنا با‌ به‌کار‌گرفتن شیوه‎های جدید جمع و تفریق و بهره‎گیری از شبکۀ ضرب این دشواری را برطرف کرد (سعیدان، همان، 2/ 19، 461، 470). در کتاب تلخیص اعمال الحساب ابن‎بنا نیز برخی از روابط ریاضی قابل‌توجه هستند که با نمادهای ریاضی چنین بیان می‎شوند:

(نک‍ : ورنت، 437؛ قربانی، زندگی‎نامه ... ، 18؛ مصاحب، 715؛ نیز ووپکه، «عبارات سه رساله ... »، 167-168). به‌دست‌آوردن 3 رابطۀ بالا با توجه به مسائلی که ابوزکریا حَصّار در کتاب خود، که اساس تلخیص ابن‎بنا ست، آورده (نک‍ : زوتر، «کتاب حساب ... »، 33-34)، چندان دشوار نیست. ابن‎بنا دربارۀ بخش‎پذیری اعداد بر 7 به روابطی اشاره می‎کند که می‎توان آنها را چنین نشان داد:

و از اینجا به بعد باقی‌مانده‎های تقسیم توانهای 10 بر 7 تکرار می‎شود، یعنی:

به‌طور مثال، اگر:

 

آنگاه می‎توان باقی‌ماندۀ تقسیم N بر 7 را از دو راه زیر به دست آورد:

وی در مورد رابطۀ (7) این قاعده را به کار بسته است:

روابطی که وی بیان کرده است، در حالت کلی می‎تواند به‌صورت زیر بیان شود:

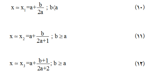
(نک‍ : جعفری، 32-35؛ سویسی، 497- 498). ابن‎بنـا همچنین بـرای محاسبۀ جذر اعداد به‌صورت

 

بسته به آنکه b از a کوچک‌تر باشد یا نباشد، 3 تقریب (X1, X2, X3) ارائه داده است:

(نک‍ : زوتر، همان، 37-38، حاشیه؛ قس: سارتن، «مقدمه»، II/ 999؛ قربانی، زندگی‎نامه، 18؛ EI2). تقریب X1 مدتها پیش از ابن‎بنا برای هر دو حالت b نسبت به a و تقریب X2 توسط نسوی (د پس از 373 ق) برای a > b (b=221، a=239) به کار رفته است (نسوی، 9؛ قربانی، نسوی‎نامه، 65- 69). تقریب X3 نیز شکل دیگری از تقریب زیر است که از سوی ابوزکریا حصار پیشنهاد شده است:

(زوتر، همانجا). دو تقریب X3 و X4 (که درواقع یکی هستند) جز برای مواردی که b بسیار نزدیک به a است، از دقت بیشتری نسبت به تقریب X2 برخوردارند.

ابن‌بنا در کتاب مسائل فی العدد التام ... به بحث دربارۀ اعداد تام و متحابّ (دوستدار یکدیگر) پرداخته است. قاعده‎ای که وی برای به‌دست‌آوردن اعداد متحاب بیان کرده، همان قاعدۀ ثابت بن قرّه است، با این تفاوت که بیان ثابت بن قره روشن‎تر از گفتار ابن‎بنـا سـت (نک‍ : جعفـری، 55-56؛ ووپکـه، «یـادداشـت دربـارۀ تئوری ... »، 428-429؛ قربانی، فارسی‎نامه، 41، 56-59)؛ اما ابن‎بنا در این کتاب بیش از 3 سده زودتر از فِرما (1601-1665 م) و تقریباً هم‌زمان با کمال‎الدین فارسی به زوج متحاب 18416 و 17296 دست یافت (جعفری، 55-56, 75؛ قربانی، همان، 40-41).

 

آثار

ابن‎بنا بیش از 80 کتاب و رساله در ریاضیات، ستاره‎شناسی، احکام نجوم، علوم دینی، تفسیر، ادب، اسرار حروف و طلسمات نوشته است. ابن‎قاضی (جذوة، 150-152) و باباتنبکتی (ص 66، 67) نام بسیاری از آثار وی را آورده‎اند. جامع‎ترین منبع دربارۀ آثار ابن‎بنا مقاله‎ای است از رنو با عنوان «ابن‎بنای مراکشی، صوفی و ریاضی‎دان» که در 1938 م در مجلۀ هسپریس به چاپ رسیده است. در اینجا تنها به آثار مهم یا چاپ‌شدۀ ابن‎بنا اشاره می‎شود:

1. الانواء، این کتاب در 1948 م توسط رنو به فرانسه ترجمه و شرح شده، و با عنوان «تقویم ابن‎بنای مراکشی» به چاپ رسیده است (ورنت، 438؛ EI2).

2-3. تلخیص اعمال الحساب و شرح آن رفع ‎الحجاب عن وجوه علم‎ الحساب، از مهم‎ترین آثار ابن‎بنا هستند. کتاب نخست به گفتۀ ابن‎خلدون (1/ 383) تلخیصی از کتاب الحصار الصغیر است. در اواخر سدۀ 19 م، آریستید مار ترجمۀ فرانسۀ تلخیص را نخست‎ در نشریۀ «انجمن لینچه‎یی» و سپس مستقلاً با نام تلخیص ابن بنا به چاپ رساند (زوتر، «ریاضی‎دانان ... »، 162، حاشیه؛ کانتور، I/ 806؛ سارتن، «مقدمه»، II/ 1000؛ ورنت، همانجا). در 1969 م محمد سویسی دیگر بار این کتاب را به زبان فرانسه ترجمه کرد و هر دو متن را به همراه تعلیقاتی در تونس به چاپ رسـاند (نک‍ : سویسی، 497، حاشیه). رشدی راشد بخشی از کتاب رفع ‎الحجاب را در مجلة تاریخ علوم العربیة به چاپ رسانده است (ص 60-63).

اهمیت کتاب تلخیص موجب شد که گذشته از رفع ‎الحجاب شرحهای بسیار دیگری بر آن نوشته شود. مهم‎ترین این شرحها عبارت‌اند از: الف ـ شرحی که توسط شاگرد ابن‎بنـا، عبدالعزیز بن علی بن داوود هواری (حاجی‎خلیفه، 1/ 472) با عنوان غایة ‎الکتاب (یـا غـایة ‎اللباب) در اواخر سدۀ 7 ق/ 13 م نوشته شده است (نک‍ : رنو، 173؛ سارتن، همان، II/ 999؛ قربانی، زندگی‎نامه، 19، 302). ب ـ شرحی توسط ابن‎قنفذ (دبا) با نام حَطّ ‎النقاب عن (در مـأخذ: على) وجوه اعمال الحساب. این شرح در تاریخ ریاضیات از اهمیت ویژه‎ای برخوردار است؛ چه از نخستین کتابهایی است که در آن برای بیـان روابط ریـاضی از نمادگذاری استفاده شده است (نک‍ : رنو، 174؛ سارتن، همان، III/ 1765؛ قربانی، همان، 19، 42، «ابن‎قنفوذ»، 57- 58، «کاوشها ... »، 6-7). ج ـ شرحی توسط یعقوب ابن‌ایوب بن عبدالواحد مواحدی که در سدۀ 8 ق/ 14 م در جنوب مراکش (مغرب اقصى) می‎زیسته است. وی نیز در شرح خود مانند ابن‎قنفذ و تقریباً هم‌زمان با وی از نمادهایی کم‌و‌بیش یکسان برای بیان روابط ریاضی بهره برده است (سارتن، همانجا، حاشیه؛ قربـانی، «ابن‎قنفوذ»، 58-59). د ـ شـرحی توسط ابوزکریـا محمد اشبیلی (زوتر، همانجا: ابوبکر بن زکریا) که در اواخر سدۀ 8 ق یا آغاز سدۀ 9 ق نوشته شده است (سارتن، همان، II/ 999). ه‍ ـ شرحی توسط موسی بن عبدالله بن هیدور تادلی (د 816 ق) دانشمند فاسی (حاجی‎خلیفه، همانجا: ابن‎حیدره) با نام التمحیص ( فی شرح تلخیص) یا تحفة الطلاب (رنو، 179؛ راشد، 6، 14؛ قربانی، زندگی‎نامه، 19، 318). رشدی راشد فصل چهارم این کتاب را که دربارۀ اعداد متحاب است، در مجلة تاریخ علوم العربیة به چـاپ رسانیده است (6/ 64- 68). و ـ شرحی از شهاب‎الدین احمد ابن‌مجدی (دبا) که ووپکه بخشهایی از این شرح را به فرانسه ترجمه و چاپ کرده است («عبارات دو دست‎نویس ... »، 225-244). ز ـ دو شرح توسط قلصادی با نامهای الشرح الکبیر و الشرح الصغیر. نسخه‎ای از شرح نخست در پاریس موجود است (دوسلان، شم‍ 2464) و ممکن است رسالۀ تقریب الاقصى من مسائل ابن بنا که با رسالۀ مذکور در یک مجموعه است (همانجا)، نسخه‎ای از شرح الصغیر باشد؛ چه در آغاز آن گفته شده که مؤلف (که ناشناخته است) شرحی مفصل‎تر بر تلخیص نوشته است (ووپکه، «یادداشت دربارۀ نسخه‎ها ... »، 105-107؛ قربانی، همان، 359-360). ووپکه بخشهایی از الشرح الکبیر را به فرانسه ترجمه، و در دو اثر خود نقل کرده است («عبارات سه رساله»، 147-155, 170-175، «رساله ... »، 58-62؛ نیز نک‍ : سارتن، همان، III/ 1765-1766، حاشیه). افزون‌بر‌اینها، شرحهایی بدون نام مؤلف نیز از تلخیص وجود دارد که ووپکه یکی از آنها را نیز ترجمه کرده است («یادداشت دربارۀ نسخه‌ها»، 108-109، «عبارات سه رساله»، 156-164؛ نیـز نک‍ : سـارتن، همـان، II/ 999). همچنیـن ابن‌هیـدور شرحی بر رفع الحجاب با عنوان تقیید على رفع الحجاب نوشته است (نک‍ : رنو، همانجا؛ قربانی، همان، 318).

کتاب الحصار الصغیر که ابن‎بنا به تلخیص آن پرداخته، خود تلخیصی از کتاب الحصار فی الحساب اثر ابوزکریا محمد بن عبدالله بن عیّاص معروف به الحصار است و احتمالاً توسط خود وی تلخیص شده است (زوتر، «کتاب حساب»، 39). زوتر در مقاله‎ای متن عربی اثر اخیر را با ترجمه‎های فرانسۀ تلخیص و الشرح الکبیر مقایسه کرده است (همان، 12-40). به گفتۀ وی موضوعات کتاب الحصار، تلخیص و شرح قلصادی تقریباً یکسان است؛ جز آنکه بخشهای پایانی تلخیص که مربوط به انجام 4 عمل اصلی با جذرها ست، و نیز بخش مربوط به جبر (به معنی مصطلح بین قدما) در اثر ابوزکریا حصار دیده نمی‎شود و ظاهراً توسط ابن‎بنا اضافه شده است (همان، 40). گفتار ابن‎بنا در تلخیص عالمانه، مختصر، مفید و بدون ارائۀ مثالهای عددی است و برای استفاده از آن در مقاصد عملی به شرح نیاز است. قلصادی ظاهراً با ‌توجه به همین نیاز به این کار پرداخته است. از گفتار ابن‎قنفذ در مقدمۀ حط النقاب نیز برمی‎آید که کتاب محمد بن عبدالله الحصار را بسیار ابتدایی و تلخیص ابن‎بنا را بسیار برتر یافته است (سارتن، همان، III/ 1765). ابن‎بنا خود نیز به دشواریِ فهم مطالب تلخیص اشاره کرده و به گفتۀ خودش، برای رفع این دشواری، رفع الحجـاب را نوشته است (نک‍ : راشـد، 6)؛ گرچـه ابن‎خلـدون کتاب اخیر را نیز برای مبتدیان دشوار خوانده و علت دشواری را شیوۀ استدلال آن دانسته است. وی همچنین به اعتبار و اهمیت ویژۀ رفع‎ الحجاب در میان دانشمندان معاصر خود اشاره کرده است (1/ 383). ووپکه به نقل از مقدمۀ ابن‎خلدونِ چاپ پاریس آورده است که ابن‎بنا در نگارش کتاب رفع‎ الحجاب اساس کار را بر کتابهای فقه ‎الحساب ابن‎منعم و الکاملِ احدب (= علی صالح الاحدب؟) نهاده است («بررسی»، 370-372).

4. الجبر و المقابلة: این کتاب در 1986 م در مجموعه‎ای با عنوان تاریخ علم الجبر فی العالم العربی با تعلیقاتی به کوشش احمد سلیم سعیدان در کویت به چاپ رسیده است. در این اثر نکتۀ تازه‎ای به چشم نمی‎خورد، اما سعیدان قسم ثانی جزء اول این کتاب را قابل‌توجه دانسته است (نک‍ : تاریخ ... ، 601).

5. علم المساحة: رساله‎ای است در وصف اشکال گوناگون هندسی و محاسبۀ مساحت یا حجم آنها. در این رساله هیچ مطلب درخور توجهی بیان نشده است. نسخه‎ای از این رساله در برلن موجود اسـت ( آلوارت، شم‍ 5945). محمد سویسی این رسـاله را در 1404 ق/ 1984 م با عنوان «الاشکال المساحیة»، در مجلة معهد المخطوطات العربیة به چاپ رسانده است. وی به‌اشتباه این دو نام را مربوط به دو رساله دانسته (ص 496)، حال‌آنکه این نام مأخوذ از آغاز رساله (نک‍ : همو، 500، تصویر نسخۀ خطی)، و بـا مقایسۀ آغاز رسالۀ برلن و متن چاپی، یکسان‌بودن آنها به‌سادگی معلوم است.

6. مسائل فی العدد التام و الناقص و الزائد: این رساله دربارۀ اعداد تام و متحاب است. سویسی در 1975 م مقاله‎ای در‌این‌باره در کنگرۀ بین‎المللی علوم ریاضی کراچی با عنوان «متنی از ابن‎بنا دربارۀ ... » ارائه داده است. در این رساله نکتۀ تازه‎ای از نظر روابط ریاضی به چشم نمی‎خورد (قربانی، فارسی‎نامه، 41، حاشیه؛ نیز نک‍ : جعفری، 197). سویسی در 1976 م متن این رساله را همراه با تعلیقاتی در مجلۀ دانشگاه تونس به چاپ رسانده است (همانجا). رشدی راشد بر آن است که این رساله از آن ابن‎هیدور است. به گفتۀ وی، ابن‎هیدور به هنگام شرح تلخیص ابن‎بنا در مبحث اعداد تام و متحاب مطالب بسیاری افزوده است. به نظر وی این افزوده‎ها شباهت بسیاری با مطالب مسائل فی العدد التام ... دارد. ظاهراً این اثر همان رساله‎ای است که ابن‎هیدور وعدۀ تألیف آن را داده بوده است (راشد، 14). از‌ سوی ‌دیگر ممکن است ابن‎هیدور در شرح این بخش از تلخیص از دیگر آثار ابن‎بنا ازجمله رسالۀ مسائل فی العدد التام ... نیز سود برده باشد.

7. المقالات الاربع فی الحساب: این کتاب در 1984 م توسط احمد سلیم سعیدان در عمان به چاپ رسیده است.

8- 9. المناخ فی ترکیب الازیاج و المناخ فی رؤیة الاهلة (ابن‎قاضی، جذوة، 151). واژۀ المناخ در عنوان این دو کتاب ریشۀ همان کلمۀ المناک و به معنی تقویم است. سارتن احتمال داده است که این کلمه نخستین‎بار از سوی ابن‎بنا به معنی تقویم به کار رفته باشد («مقدمه»، II/ 999). گرچه اشتاین اشنایدر نام 16 نوشتۀ لاتین را که کلمۀ المناک در عنوان آنها به کار ‌‌‌‌‌‌رفته، ذکر کرده که کهن‎ترین آنها ــ در صورت درستی تاریخ تألیف ــ مربوط به 1231 م است (همو، «تقویم ... »، 492-493).

10. منهاج الطالب لتعدیل الکواکب، زیجی است که به گفتۀ ابن‎خلدون (1/ 387) برپـایۀ زیج ابن‎اسحـاق ــ که در مغرب اقصى بسیـار مورد ‌اعتماد بوده ــ نوشته شده است. از‌آنجـا‌که استخراج احکام نجومی به کمک جدولهای منهاج بسیار ساده و تنها نیازمند شناختن موضع سیارات در آسمان بود، این کتاب مورد توجه بسیار مردم مغرب قرار‌ گرفت (همانجا). کندی منهاج را زیجی مفصل خوانده و به ارتباط آن با دیگر زیجها اشاره کرده است (ص 6, 9). ابوالحسن علی بن ابوعلی قسنطینی زیج مختصری تألیف کرده که در آن از جدولهای منهاج استفادۀ فراوان برده است (همو، 7, 10، جم‍ ‎). ابن‎قنفذ نیز بـا بهره‎گیری از جدولهـای منهـاج‎ زیج مختصری تألیف کرده است (همو، 7). از زیج ابن‎بنا نسخه‎های متعددی در دست است، اما جدولهای آن هنوز بررسی دقیق نشده است (همانجا). مقدمۀ این زیج توسط ورنت به اسپانیایی ترجمه شده و در 1951 م در تطوان به چاپ رسیده است (ورنت، 438؛ کندی، همانجا، حاشیه، نیز 45).

11. السیارة فی تعدیل الکواکب السیارة: ابن‌قنفذ شرحی به نام تسهیل المطالب فی تعدیل الکواکب بر این کتاب نوشته است (رنو، 174؛ سارتن، «مقدمه»، II/ 999, III/ 1765؛ قربانی، «ابن‎قنفوذ»، 57).

 

مآخذ

ابن‎حجر عسقلانی، احمد، الدرر الکامنة، حیدرآباد دکن، 1392 ق؛ ابن‎خلدون، مقدمة؛ ابن‎قاضی، احمد، جذوة الاقتباس، به کوشش عبدالوهاب بن منصور، رباط، 1973 م؛ همو، درة ‎الحجال، به کوشش محمد احمدی ابوالنور، قاهره / تونس، 1390 ق/ 1970 م؛ ابن‎قنفذ، احمد، انس الفقیر و عز الحقیر، به کوشش محمد فاسی و ادلف فور، رباط، 1965 م؛ همو، الوفیات، به کوشش عادل نویهض، بیروت، 1403 ق/ 1983 م؛ باباتنبکتی، احمد، «نیل الابتهاج»، همراه الدیباج المذهب ابن‎فرحون، قاهره، 1351 ق؛ حاجی‌خلیفه، کشف؛ دبا؛ راشد، رشدی، «نصوص لتاریخ الاعداد المتحابة و حساب التوافقات»، مجلة تاریخ العلوم العربیة، حلب، 1982 م، ج 6؛ سراج اندلسی، محمد، الحلل السندسیة فی اخبار التونسیة، به کوشش محمد حبیب هیله، تونس، 1970 م؛ سعیدان، احمد سلیم، تاریخ علم الجبر فی العالم العربی، کویت، 1986 م؛ همو، مقدمه و تعلیقات بر الفصول فی الحساب الهندی، اثر احمد بن ابراهیم اقلیدسی، عمان، 1984 م؛ سویسی، محمد، «الاشکال المساحیة لابی العباس احمد بن البناء المراکشی»، مجلة معهد المخطوطات العربیة، کویت، 1404 ق/ 1984 م، ج 28(2)؛ قربانی، ابوالقـاسم، «ابن‌قنفوذ»، سخن (نشریۀ علمی و فنی)، تهران، 1346 ش، س 6، شم‍ 2؛ همو، زندگی‎نامۀ ریاضی‎دانان دورۀ اسلامی، تهران، 1365 ش؛ همو، فارسی‎نامه، تهران، 1363 ش؛ همو، «کاوشهایی در تاریخ ریاضیات اسلامی»، سخن (نشریۀ علمی و فنی)، تهران، 1346 ش، س 6، شم‍ 1؛ همو، نسوی‎نـامه، تهـران، 1351 ش؛ مصاحب، غلامحسین، تئوری مقدماتی اعداد، تهران، 1355 ش؛ نسوی، علی، المقنع فی الحساب الهندی، تصویر نسخۀ خطی ضمیمۀ نسوی‎نامه (نک‍ : هم‍ ، قربانی)؛ نیز:

Ahlwardt ; Cantor, M., Vorlesungen über Geschichte der Mathematik, Leipzig, 1907; De Slane ; Dictionary of Scientific Biography, New York, 1976; Djafari Naini, A., Geschichte der Zahlentheorie im Orient, Braunschweig, 1982; EI2; Kennedy, E. S. and D. A. King, «Indian Astronomy in Fourteenth Century Fez: The Versified zīj of al-Qusunṭīnī», Journal for the History of Arabic Science, Aleppo, 1982, vol. VI; Renaud, H. P. J., «Additions et corrections à Suter», Isis, Philadelphia, 1932, vol. XVIII; Sarton, G., Introduction to the History of Science, Baltimore, vol. II, 1931, vol. III, 1948; id., «Tacuinum, Taqwim, with a Digression on the Word Almanac», Isis, Philadelphia, 1928, vol. X; Suter, H., Die Mathematiker und Astronomen der Araber und ihre Werke, Leipzig, 1900; id., «Das Rechenbuch des Abu Zakarijâ el-Ḥaṣṣâr», Bibliotheca mathematica, 1901, vol. II; Vernet, J., «Ibn al-Bannāʾ», Dictionary of Scientific Biography, New York, 1970, vol. I; Woepcke, F., «Mémoire sur la propagation des chiffres indiens», JA, 1863, vol. I; id., «Notice sur quelques manuscrits arabs relatifs aux mathématiques», ibid., 1862, vol. XIX; id., «Notice sur une théorie ajoutée par Thābit ben Korrah à l’arithmétique spéculative des grecs», ibid., 1852, vol, XX; id., «Passages relatifs à des sommations de séries de cubes: Extraits de deux manuscrits arabes inédits du British Museum de Londres», Annali di Scienze matematiche e fisiche compilati da Barnaba Tortolini, Rome, 1864, vol. VI; id., «Passages relatifs à des sommations de séries de cubes, extraits de trois manuscrits arabes inédits de la Bibliothèque Impériale de Paris», ibid., 1863, vol. V; id., «Recherches sur l’histoire des sciences mathématiques chez les orientaux, d’après des traités inédits arabes et persans ... », JA, 1854, vol. IV.

یونس کرامتی

ورود به سایت

مرا به خاطر بسپار.

کاربر جدید هستید؟ ثبت نام در تارنما

کلمه عبور خود را فراموش کرده اید؟ بازیابی رمز عبور

کد تایید به شماره همراه شما ارسال گردید

ارسال مجدد کد

زمان با قیمانده تا فعال شدن ارسال مجدد کد.:

ثبت نام

عضویت در خبرنامه.

قبلا در تارنما ثبت نام کرده اید؟ وارد شوید

کد تایید را وارد نمایید

ارسال مجدد کد

زمان با قیمانده تا فعال شدن ارسال مجدد کد.: